艾德金斯催化剂
浏览: 0
导读:艾德金斯催化剂 : 又称亚铬酸铜催化剂,化学组成为CuO·CuCr2O4。本品较钯、铂等成本低廉,可在高温、高压下进行有机物还原反应[1],也可用于脱氢[2]和脱羧[3]反应。例如:
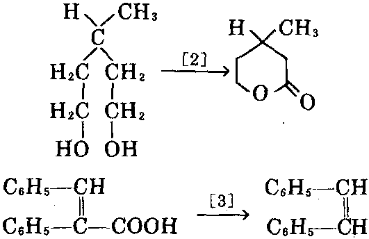
艾德金斯催化剂 : 又 称亚铬酸铜催化剂,化学组成为CuO·CuCr2O4。本品较钯、铂等成本低廉,可在高温、高 压下进行有机物还原反应[1],也可用于脱 氢[2]和脱羧[3]反应。例如:


导读:艾德金斯催化剂 : 又称亚铬酸铜催化剂,化学组成为CuO·CuCr2O4。本品较钯、铂等成本低廉,可在高温、高压下进行有机物还原反应[1],也可用于脱氢[2]和脱羧[3]反应。例如:
艾德金斯催化剂 : 又 称亚铬酸铜催化剂,化学组成为CuO·CuCr2O4。本品较钯、铂等成本低廉,可在高温、高 压下进行有机物还原反应[1],也可用于脱 氢[2]和脱羧[3]反应。例如:

