丙二酸酯类
浏览: 0
导读:丙二酸酯类 : 本品为丙二酸的两个羧基同时和某一烷基结合而形成的酯。丙二酸的酯早在1858年已被M.Dessaignes从苹果酸的氧化生成物中发现。本条目所列均为低熔点化合物。丙二酸酯类一般用作农药、医药、染料、香料等的合成原料。当R=—CH3时[2],称为丙二酸二甲酯,又称丙二酸甲酯。无色透明液体。相对分子质量132.13。相对密
丙二酸酯类 :

本品为丙 二酸的两个羧基同时和某 一烷基结合而形成的酯。丙 二酸的酯早在1858年已被 M.Dessaignes从苹果酸的 氧化生成物中发现。本条目 所列均为低熔点化合物。丙 二酸酯类一般用作农药、医 药、染料、香料等的合成原料。
当R=—CH3时[2],称 为丙二酸二甲酯,又称丙二 酸甲酯。无色透明液体。相 对分子质量132.13。相对密 度1.1544。熔点-61.9℃。沸 点181℃、78.4℃(2.000×103 Pa)。闪点90℃。折射率1.4135。溶于乙醇、乙醚、 丙酮、苯和氯仿。大鼠经口LD505331mg/kg。用 作医药、染料的原料,用作农药除草剂的原料, 用于大豆、棉花等旱地的选择性芽前除草。
当R=-C2H5时[3],称为丙二酸二乙酯、 丙二酸乙酯。无色至浅黄色透明液体。有令 人愉快的香气。相对分子质量160.17。相对 密度1.0551。熔点-48.9℃。沸点198.9℃ (2.400×103Pa)。闪点75℃。折射率1.4139、 1.4143(25℃)。在水中的溶解度为2.8。溶于苯、 氯仿、乙酸,易溶于丙酮,与乙醇、乙醚混溶。稳 定,受热不分解。亚甲基上的氢可烷基化、酰基 化、羟基化和酰胺化。大鼠经口LD501500 mg/kg。用作染料、香料和医药的原料;用 作农药的原料;合成液晶的原料;我国 GB2760—1996规定为允许使用的食用香料, 调制苹果、梨、香蕉、葡萄等水果香型香精,用 于食品。

当R=—CH2CH2CH3时[4],称为丙二酸 二丙酯、丙二酸丙 酯。相对分子质量 188.23。无色透明 液体。有香气。相对 密度1.0097。熔点 -77.1℃、沸点229℃、113℃(1.867×103Pa)。折 射率1.4206。


当R=—CH2CH2CH2CH3时[5],称为丙 二酸二丁酯,又 称丙二酸丁酯。 无色透明液体。 相对分子质量 216.28。相对密 度0.9824。熔 点-83℃。沸点 251~252℃、 137℃(1.867× 103Pa)。折射率 1.4262。溶于乙 醇、乙醚、丙酮、 苯和氯仿,不溶 于水。用作药物 磺胺-6-甲氧 嘧啶的原料;有 机合成的 中 间体。
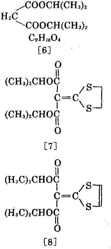
当R= —CH(CH3)2时 [6],称为丙二 酸异丙酯,又称 丙二酸异丙酯。 无色透明液体。 相对分子质量 188.23。相对密 度0.9912。沸点 102℃(3.066×103Pa)。用作农药杀菌剂富士一 号[7]的原料,[7]用于防止稻瘟病;[6]还可用 作医药肝治疗药物Malothilate[8]的原料。
制法:上述酯类的制法有以下几种:
①在酸催化剂存在下,以丙二酸为原料, 与相应的醇直接进行酯化,可制得对应的酯。
②采用钴或铑催化剂,由一氯乙酸酯、一 氧化碳和相应醇进行反应,可制得对应的酯。
ClCH2COOR+CO+ROH→[2]~[6]
③8采用钯催化剂,以乙烯酮、一氧化碳和 亚硝酯进行反应,可制得[2]。
H2C=C=O+CO+RNO2→[2]
④ 用臭氧氧化二烯酮,制得丙二酸酐,再 与相应的醇进行酯化,可制得[2]~[6]
⑤以乙酸为原料与氢氰酸反应,生成氰基 乙酸后在浓硫酸存在下水解,再与相应的醇进 行酯化,可制得[2]~[6]。
⑥与⑤相似,以氯乙酸为原料,用饱和碳 酸钠(或氢氧化钠)中和至pH=7,加热至45℃, 加入氰化钠溶液,加热至110℃,搅拌,反应,再 加入氢氧化钠,此时生成丙二酸钠,浓缩干燥 后,过滤,将滤渣加入到浓硫酸中,再加入相应 的醇ROH,进行酯化反应,可制得[2]~[6]。
⑦酯交换。先制得[2],再与其他相应的醇 进行酯交换。
客服热线:
