丙氨酸
浏览: 1
导读:丙氨酸 : 根据氨基的位置,有两种立体异构体,即α-丙氨酸[1]、β-丙氨酸[2]。相对分子质量89.09。[1]又称2-氨基丙酸、α-氨基丙酸,简称α-Ala。有3种旋光异构体,即d-、l-、dl-体,其中d-体及dl-体较重要。是非必需氨基酸,可与丙酮酸产生可逆转化,影响糖的代谢,在生理过程中是很重要的物质。是血液中最多的一种氨基酸。天然存
丙氨酸 :

根据氨基的位置,有 两种立体异构体,即α-丙氨酸[1]、β-丙氨 酸[2]。相对分子质量89.09。
[1]又称2-氨基丙酸、α-氨基丙酸,简称 α-Ala。有3种旋光异构体,即d-、l-、dl-体, 其中d-体及dl-体较重要。是非必需氨基酸, 可与丙酮酸产生可逆转化,影响糖的代谢,在生 理过程中是很重要的物质。是血液中最多的一 种氨基酸。天然存在于蛋白质中,如羊毛、丝等, 但是蛋白质中均以d-体存在。有甜味(甜度约 为蔗糖的70%),是氨基酸中最甜的一种,相当 于甘氨酸的1.6倍。无毒。小鼠经口LD50 16200mg/kg。
d-体: 从水或乙醇中析出者为正交晶系 无色针状晶体。相对密度1.401。160~165℃升 华,314℃分解。不溶于乙醚、丙酮,微溶于乙 醇(在80%的冷乙醇中的溶解度为0.2%),溶于 水(g/l):0℃时127.3、25℃时166、5、50℃时 217.9、75℃时285.1、100℃时373.0。比旋光 度+2.8°(25℃,c=6,H2O)、+99.5°(HCl)。5% 的水溶液pH=5.5~7.0。1879年从丝绸水解液 中分离得到。
dl-体: 从水中析出者为正交晶系双锥体 或针状无色至白色晶体。相对密度1.424。258℃ 升华。295~296℃分解(取决于加热速度)。不 溶于乙醚、丙酮,微溶于乙醇(25℃时为 0.0087%、75℃时为0.57%),溶于水(g/l):0℃时 121.0、25℃时167.0、50℃时231.0、75℃时319.0、 100℃时440。5%的水溶液pH=5.5~7.0。
l-体: 由水或乙醇中析出者为针状晶体。 能升华。熔点314℃(分解)。不溶于乙醚、丙酮, 微溶于乙醇(20℃时0.2%),溶于水(20℃时 2.2%)。比旋光度-13.6°(c=1,6mol/lHCl)。
[2]又称β-氨基丙酸、3-氨基丙酸、Abufene。天然存在的唯-β-氨基酸,1943年发现 其存在,1949年单离出来。从水中析出者为针状 晶体。略有甜味。相对密度1.437(19℃)。分解温 度207℃。不溶于乙醚、丙酮,微溶于乙醇,溶于 水: 25℃时55.5。5%的水溶液pH=6.0~7.3。非 必需氨基酸。
用途: [1]和[2]均可用作食品添加剂,在 食品业中用得较多的是[1],用作营养增补剂、 调味剂、酸味改善剂(加入1%~5%可改善冰醋 酸、琥珀酸、富马酸、柠檬酸、酒石酸等的酸味); 酱菜腌制时的添加剂(可改善风味,使其带有酸 甜味);饮酒添加剂(使酒醇和,减少酵母气味); β-体也是我国GB2760—1996规定允许使用的 食用香料;油脂防老化剂;医药中间体;制造维生 素B6的原料;配制氨基酸输液;化妆品原料。[2] 可用作制备泛酸钙的原料及表面活性剂的中 间体。
制法:①由含本品较多的蛋白质物质如 丝、毛发等水解、单离制取。
② 以L-天冬氨酸为原料,经天冬氨酸- β-脱羧酶处理,可制得[1]。
![]()
③以反丁烯二酸和氨为原料,以天冬氨 酸-β-脱羧酶为催化剂,可以制得[1]。
④ 以丙酸为原料,在3%赤磷催化剂存在 下,于105℃与氯反应,生成2-氯代丙酸,2-氯 代丙酸在氨水溶液中,在乌洛托品(六亚甲基四 胺)存在下,于60℃下进行氨化反应,生成2-氨 基丙酸,再在甲醇中重结晶,可获得精品[1]。
![]()
![]()
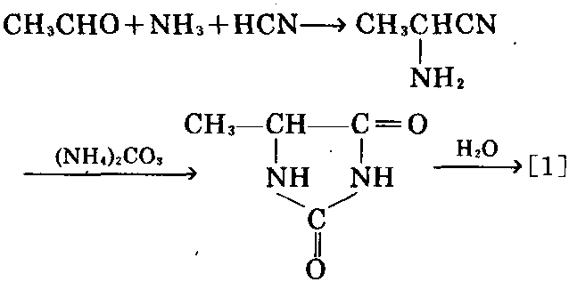
⑤乙醛与氢氰酸反应,生成2-氰乙醇,在 加压下再与氨反应,除去未反应的氢氰酸后,制 得氨基丙腈,然后在碱性条件下水解,生成氨基 丙酸钠,经离子交换,可制得[1],经浓缩、结晶, 在水或乙醇中重结晶,可获得精制[1]。

⑥以乙醛、氨和氢氰酸为原料,反应生成 2-氨基丙腈,再与碳酸铵反应,进一步水解,可 得粗制[1],再重结晶精制,可得精制[1]。

⑦ 以丙烯腈和氨为原料,在二苯胺和叔丁 醇溶液中,在1.0MPa及100~109℃下进行反 应,生成β-氨基丙腈,减压后,在90~95℃下, 再与氢氧化钠反应,生成β-氨基丙酸钠,最后 用盐酸酸化,或用离子交换法,可制得[2]。
⑧ 由琥珀酰亚胺在浓度为14%的NaOCl 及8%的NaOH混合液中降解,除去无机盐杂质 后,溶液用活性炭脱色,用离子交换树脂交换除 去杂质离子,最后浓缩,冷却结晶及重结晶精 制,可制得[2]。

⑨液氨与乙酸乙酯反应。可制得[2]。
⑩3-氨基-1-丙醇在硫酸溶液中进行 无隔膜电解氧化,用铅作电极,可制得[2]。
(11)丙烯酸或丙烯酸酯与氨反应,可制 得[2]。
客服热线:
