三聚氰氯
浏览: 11
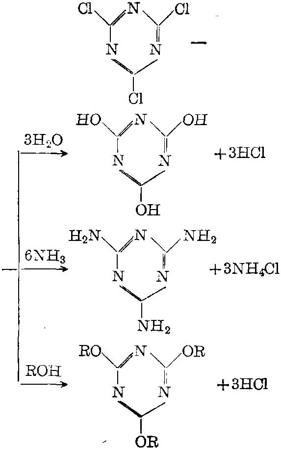
导读:三聚氰氯 : 学名“2,4,6-三氯-1,3,5-三嗪”。分子式C3N3Cl3。分 子 量184.41。白色具有刺激性的晶体。极毒! 有刺激性的催泪剂,侵蚀眼及鼻粘膜,与皮肤接触可引起斑疹。熔点154℃。沸点190℃(95.99千帕)。溶于四氯化碳、氯仿、苯、乙醚、乙腈、丙酮,不溶于水。化学性质活泼,遇水或吸湿后即生成三聚氰酸。其中三个氯原子易被羟
三聚氰氯 :

学名 “2,4,6-三氯-1,3,5-三嗪”。分子式 C3N3Cl3。分 子 量 184.41。白色具有刺 激性的晶体。极毒! 有 刺激性的催泪剂,侵蚀 眼及鼻粘膜,与皮肤接 触可引起斑疹。熔点 154℃。沸点190℃(95.99千帕)。溶于四 氯化碳、氯仿、苯、乙醚、乙腈、丙酮,不溶于 水。化学性质活泼,遇水或吸湿后即生成 三聚氰酸。其中三个氯原子易被羟基、氨 基或烷氧基取代,生成三嗪衍生物:

客服热线:
