丁酸芳樟酯
浏览: 0
导读:丁酸芳樟酯 : 又称丁酸3,7-二甲基-1,6-辛二烯-3-酯。无色至浅黄色液体。有香柠檬样的香气及蜂蜜样香韵。天然存在于薰衣草油中。相对分子质量224.35。相对密度0.8890~0.8903。沸点232℃。折射率1.4518。不溶于水,溶于乙醇及非挥发性油。用途:香料,调制薰衣草、香柠檬、玫瑰、丁香、铃兰等花香型香精,用于化妆品;调制香蕉、
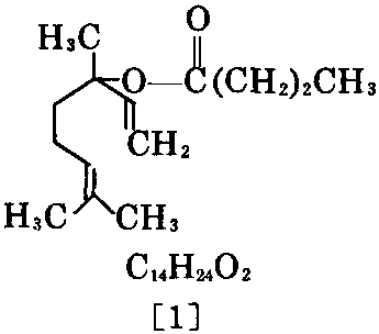
丁酸芳樟酯 :

又称丁 酸3,7-二甲基-1, 6-辛二烯-3- 酯。无色至浅黄色 液体。有香柠檬样 的香气及蜂蜜样 香韵。天然存在于 薰衣草油中。相对 分子质量224.35。 相对密度0.8890~0.8903。沸点232℃。折射率 1.4518。不溶于水,溶于乙醇及非挥发性油。
用途:香料,调制薰衣草、香柠檬、玫瑰、丁 香、铃兰等花香型香精,用于化妆品;调制香 蕉、葡萄、桃、菠萝、梨等果香型香精,用于 食品。
制法:①芳樟醇钠与氯化丁酸反应,可制 得[1]。
②芳樟醇与丁酐在樟脑磺酸作用下酯化, 可制得[1]。
③芳樟醇与丁酰氯在吡啶中加热酯化,可 制得[1]。
④芳樟醇与丁酸在甲苯中加热酯化,可制 得[1]。
客服热线:
