龙涎香
浏览: 2
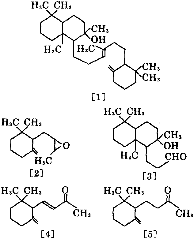
导读:龙涎香 : 一种动物性混合香料。是抹香鲸肠内的结石,由鲸体排出,漂浮于海上。蜡状黄色、灰色、暗红色或深棕的块状物。有独特的香气。熔点70~75℃。缓慢加热,可完全挥发。难溶于水和碱金属氢氧化物的水溶液,溶于热乙醇、氯仿、乙醚和挥发性油。其成分复杂,主要组分为一种称为龙涎香素(Ambrein)的三萜烯醇[1],约占45%,此外,还
龙涎香 :


一种动物性混合香 料。是抹香鲸肠内的结 石,由鲸体排出,漂浮于 海上。蜡状黄色、灰色、 暗红色或深棕的块状 物。有独特的香气。熔点 70~75℃。缓慢加热,可完全挥发。难溶于水和 碱金属氢氧化物的水溶液,溶于热乙醇、氯仿、 乙醚和挥发性油。其成分复杂,主要组分为一种 称为龙涎香素(Ambrein)的三萜烯醇[1],约占 45%,此外,还有表粪甾醇及其酯类,约占30%, 粪甾醇约占5%,酮类约占8%,脂肪酸及其酯类 约占13%。新鲜的龙涎香只有极微弱的香气,而 是更强粪臭气。但是龙涎香素在分解过程中,产 生的琥珀醚[2]、琥珀羟基醛[3]、γ-紫罗兰 酮[4]、二氢-γ-香堇酮[5]及γ-环香叶醇[6] 等具有强烈的香气。将龙涎香溶于乙醇制成酊 剂,是一种极好的定香剂,广泛用于高级化妆 品,调制类似麝香的香精。对皮肤无刺激作用, 无光毒性。大鼠经口LD505000mg/kg。
由于本品自然资源逐渐缩减,天然品异常 昂贵,于是人工合成了数十种具有龙涎香香气 的香料,它们之中的大多数是两个六元环形成 稠环,具有一个并二甲基取代基;但也有少数例 外。较著名者如龙涎醛、降龙涎醚。
客服热线:
