禾草灭
浏览: 3
导读:禾草灭 : 又称枯杀达、2,2-二甲基-4,6-二氧-5-{1-[(2-烯丙氧基)氨基]亚丁基}-3-环己烯-1-羧酸甲酯钠盐。无色、无嗅晶体。相对分子质量345.20。熔点185.5℃(分解)。30℃时的溶解度(g/kg)为:水2000、丙酮14、环己酮2、乙酸乙酯2、二甲苯0.02、甲醇619、乙醇50、丁酮0.15、二甲基甲酰胺1000。蒸气压1.333×10-3Pa。热稳定性好
禾草灭 :

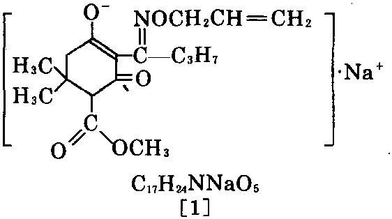
又称枯杀达、2,2- 二甲基-4,6-二氧-5-{1-[(2-烯丙氧基) 氨基]亚丁基}-3-环己烯-1-羧酸甲酯钠 盐。无色、无嗅晶体。相对分子质量345.20。熔点 185.5℃(分解)。30℃时的溶解度(g/kg)为: 水>2000、丙酮14、环己酮2、乙酸乙酯2、二甲苯 0.02、甲醇619、乙醇50、丁酮0.15、二甲基甲酰胺 1000。蒸气压<1.333×10-3Pa。热稳定性好。有 吸湿性。无毒、对皮肤、粘膜无刺激性。1973年制 出,1980年正式登记为农药。大鼠经口LD502320 mg/kg,经皮LD501630mg/kg。
用途: 是一种选择性除草剂,广泛用于甜 菜、蔬菜、大豆或其他阔叶植物间除去狭叶杂 草,尤其作为禾科植物有特效;但对宽叶杂草无 效。每1万m2用量为0.5~1kg。
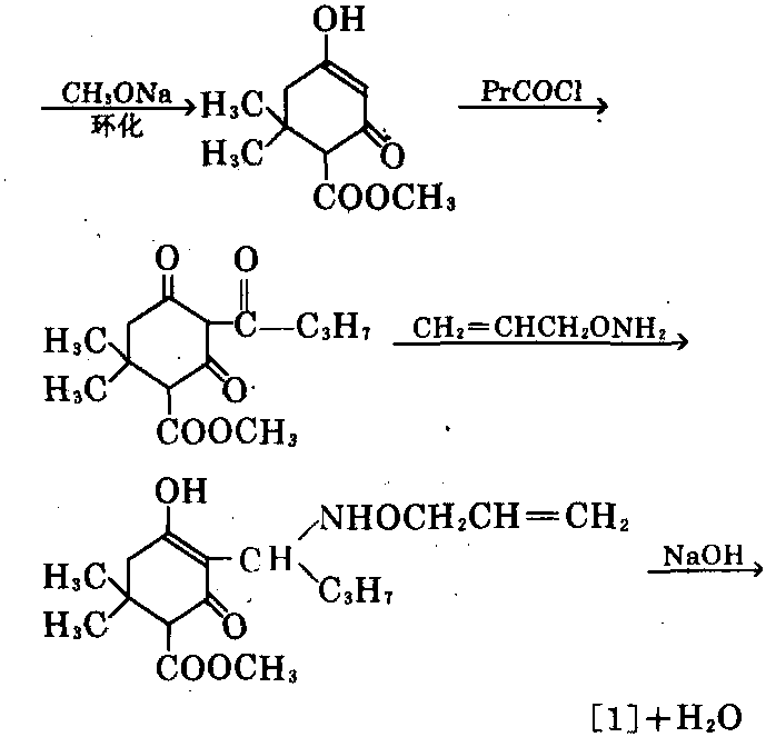
制法: 在甲醇的碱溶液中,由丙二酸二甲 酯同仲丁烯基甲基酮进行反应,环化,生成6, 6-二甲基-2,4-二氧-环己烯-3-甲酸甲 酯,再进行酰氯化,为了在3位上接上丁基,可用 丁酰氯进行催化酰化,然后在催化剂的作用下, 进行分子重排,生成6,6-二甲基-2,4-二 氧-3-丁酰基-环己烯甲酸甲酯,继续进行相 转移催化反应,然后与烯丙氧基胺反应,可制得 4-羟基-6,6-二甲基-2-氧-3- {1-[(2-烯丙氧基)氨基]]亚丁基}-3-环己烯- 1-羧酸甲酯,最后与碱作用成盐,可制得 [1]。
CH2(COOCH3)2+(CH3)2C=CHCOCH3

客服热线:
