代森锌
浏览: 3
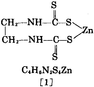
导读:代森锌 : 又名亚乙基-1,2-双(二硫代氨基甲酸)锌、Dipher。从氯仿和乙醇的混合溶液中析出者为灰白色粉末。有吸湿性。相对分子质量275.75。室温下在水中的溶解度为10×10-6。溶于二硫化碳和吡啶。在潮湿空气中缓慢分解,放出二硫化碳而失效。受热及遇碱性物质或含铜、汞的物质则易分解。不溶于多数其他有机溶剂。用途: 作农药,
代森锌 :

又名亚乙基-1,2- 双(二硫代氨基甲酸) 锌、Dipher。从氯仿 和乙醇的混合溶液 中析出者为灰白色 粉末。有吸湿性。相 对分子质量275.75。 室温下在水中的溶 解度为10×10-6。溶 于二硫化碳和吡啶。在潮湿空气中缓慢分解,放 出二硫化碳而失效。受热及遇碱性物质或含铜、 汞的物质则易分解。不溶于多数其他有机溶剂。
用途: 作农药,是一种广谱性杀菌剂。用于 麦类防锈病,马铃薯炭疽病,蔬菜、葡萄、果树和 烟草等作物的多种真菌病虫害。大鼠口服LD50 大于5000mg/kg。食用前必须从果物表面除去, 残留量不得大于0.2×10-6。
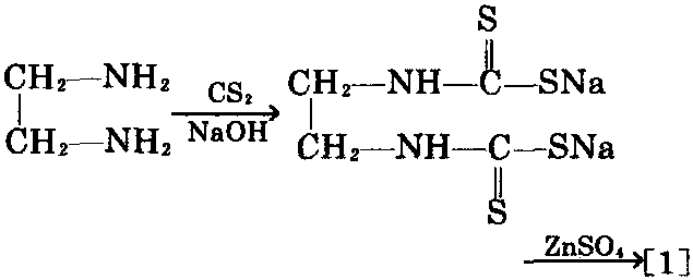
制法: 由乙二胺与二硫化碳在氢氧化钠作 用下,生成亚乙基-1,2-双(二硫代氨基甲酸 钠),再与硫酸锌反应,可制得本品。

客服热线:
