仙客来醛
浏览: 5
导读:仙客来醛 : 又称兔耳草醛、对异丙基-α-甲基氢化肉桂醛、对异丙基-α-甲基苯丙醛、3-枯基异丁醛。无色至浅黄色粘性液体。有较强的类似兔耳草及百合花的香气。自然界不存在。相对分子质量190.29。相对密度0.950。沸点270℃、133~137℃(13.199×103Pa)、126~127℃(2.533×103Pa)、115℃(0.667×103Pa)、109~110℃(0.400×1
仙客来醛 :

又称 兔耳草醛、对异丙基-α-甲基氢化肉桂醛、对 异丙基-α-甲基苯丙醛、3-枯基异丁醛。无色 至浅黄色粘性液体。有较强的类似兔耳草及百 合花的香气。自然界不存在。相对分子质量 190.29。相对密度0.950。沸点270℃、133~137℃ (13.199×103Pa)、126~127℃(2.533×103Pa)、 115℃(0.667×103Pa)、109~110℃(0.400×103 Pa)、108.5℃(0.266×103Pa)、99~102℃ (0.133×103Pa)。闪点103℃。折射率1.5068。几 乎不溶于水和甘油,可溶于80%的乙醇及甘油 中,在碱中稳定。对皮肤无刺激作用。大鼠经口 LD503810mg/kg。
用途: 用作香料,调制花香型(丁香、铃兰、 玉兰、橙花等)香精,含醛量低时,可用于香皂及 洗涤剂,含醛量高时,用于化妆品;调制果香 型(柑橘等)香精用于食品,是我国GB2760— 1996规定暂时允许使用的食用香料。
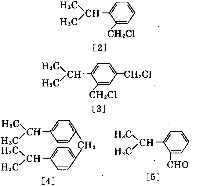
制法:①以苯为原料,在三氯化铝的催化 作用下,与丙烯进行烷基化反应,制得异丙 苯[2],再与甲醛、盐酸在60℃下缩合,生成对异 丙基氯化苄,对异丙基氯化苄在乙酸溶液中与 乌洛托品反应,生成对莳萝醛,然后在常温下, 在碱溶液和乙醇混合溶液中,与丙醛缩合,制 得对异丙基-α-甲基桂醛,最后在镍催化剂 作用下,经催化加氢,可制得[1]。在此工艺过 程中,制备对异丙基氯化苄时,同时副产邻异 丙基氯化苄[2]、2,4-二氯甲基异丙苯[3]和 二异丙苯基甲烷[4],在制备对莳萝醛时,[2] 也转变为邻莳萝醛[5],还副产对异丙基-α- 甲基桂醇[6],[6]经氧化或脱氢,也可转变 为[1]。由于杂质能影响产品香气质量,所以, 应仔细分馏提纯。


②以对异丙基氯化苄为原料,在乙醇钠溶 液中与异丁二酸二乙酯反应,生成[7]、[7]再与 甲酸反应,可制得[1]。


③ 以异丙苯和α-甲基 丙烯醛为原料,在催化剂氯 化钛的催化作用下,可一步 合成[1]。
如果以叔丁基代替[1] 中的异丙基,可得到[8],[8] 的香气更为柔和。

客服热线:
