孕酮
浏览: 0
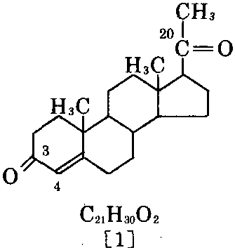
导读:孕酮 : 又称孕-4-烯-3,20-二酮,黄体酮。相对分子质量314.47。有两晶型,即α-型和β-型。两种晶型有相同的生理活性。α-型从稀乙醇中析出者为正交晶系白色棱柱状结晶,相对密度1.166(23℃),熔点127~131℃。β-型为正交晶系白色针状结晶,相对密度1.171,熔点121℃,比旋光度+172°~+182°。二者均不溶于水,溶于乙酮、丙酮、二&
孕酮 :

又称孕-4-烯- 3,20-二酮,黄体 酮。相对分子质量 314.47。有两晶型, 即α-型和β-型。 两种晶型有相同的 生理活性。α-型从 稀乙醇中析出者为 正交晶系白色棱柱 状结晶,相对密度1. 166(23℃),熔点127~131℃。β-型为正交晶系 白色针状结晶,相对密度1.171,熔点121℃,比 旋光度+172°~+182°。二者均不溶于水,溶于 乙酮、丙酮、二烷及浓硫酸。
用途: 医药,用于抑制习惯性流产及调治 月经失常等症。
制法: 合成方法主要以地奥配质(diosgenin)为原料而制得。
客服热线:
