5′-鸟苷酸钠
浏览: 0
导读:5′-鸟苷酸钠 : 又称鸟苷-5′-磷酸二钠。白色至无色结晶,或白色结晶性粉末。无嗅。有香蘑(菇)的特殊鲜味。相对分子质量407.19。240℃时呈褐色。250~251℃分解。不溶于乙醇、乙醚和丙酮。在水中的溶解度为25(25℃)。有吸湿性,在75%的湿度下,放置一天,可吸收30%的水分,此后不再吸湿。本品除无水物外,还可含4~7分子水。市售
5′-鸟苷酸钠 :

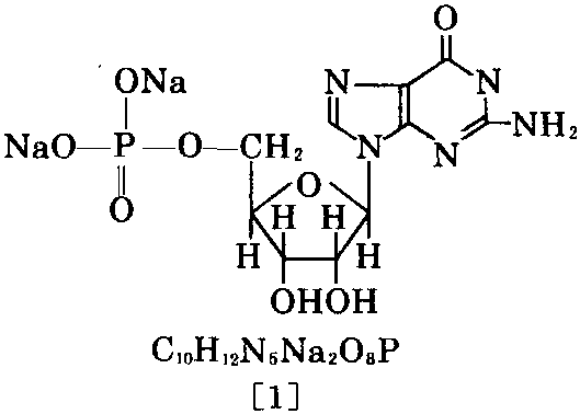
又称鸟苷-5′-磷酸二钠。白色至无 色结晶,或白色结晶性粉末。无嗅。有香蘑(菇) 的特殊鲜味。相对分子质量407.19。240℃时呈 褐色。250~251℃分解。不溶于乙醇、乙醚和丙 酮。在水中的溶解度为25(25℃)。有吸湿性,在 75%的湿度下,放置一天,可吸收30%的水分, 此后不再吸湿。本品除无水物外,还可含4~7分 子水。市售品多含有2分子结晶水。热稳定性与 肌苷酸钠相近。
用途: 用作调味品,有香蘑鲜味,其味阈值 为0.0035%,显味能力相当于肌苷酸钠的数倍, 与谷氨酸钠(味精)配合使用,可起协同效应,是 我国GB2760-1996规定允许使用的食品用增 味剂。
制法:①核糖核酸法。用酶分解核糖核酸, 然后分离。
② 发酵法。利用发酵使葡萄糖产生鸟苷 酸,再用磷酸酸化,可制得5′-鸟苷酸,再用碱 中和,可制得[1]。
客服热线:
