对甲酚定
浏览: 2
导读:对甲酚定 : 又称2-氨基对甲苯甲醚、3-氨基-4-甲氧基甲苯、5-甲基-2-甲氧基苯胺、5-甲基-邻-茴香胺、1-甲基-3-氨基-4-甲氧基苯。从乙醇或石油醚中析出者为白色针状结晶或结晶性粉末。相对分子质量137.18。熔点51.5℃。沸点235℃。不溶于苯,难溶于水,溶于乙醇、乙醚及稀盐酸。加热产生有毒气体氮氧化物(NOx)。大鼠经口LD50145
对甲酚定 :

又称2-氨基 对甲苯甲醚、3-氨基-4-甲氧 基甲苯、5-甲基-2-甲氧基苯 胺、5-甲基-邻-茴香胺、1- 甲基-3-氨基-4-甲氧基苯。 从乙醇或石油醚中析出者为白 色针状结晶或结晶性粉末。相对 分子质量137.18。熔点51.5℃。沸 点235℃。不溶于苯,难溶于水,溶于乙醇、乙醚 及稀盐酸。加热产生有毒气体氮氧化物(NOx)。 大鼠经口LD501450mg/kg。
用途:用作染料中间体,生产直接染料、酸性 染料、分散染料和萘酚染料,主要是直接染料。
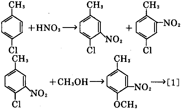
制法:①以对氯甲苯为原料,在30℃下于 混酸中硝化,生成4-氯-3-硝基甲苯和4- 氯-2-硝基甲苯,减压精馏使二者分离,制得 4-氯-3-硝基甲苯,使其与甲醇反应,生成 4-甲氧基-3-硝基甲苯,在甲酸溶液中用铁 粉还原,可得粗制[1]。用石油醚进行萃取精馏, 可制得[1]。

②以对甲氨为原料,经重氮化后,重氮盐 加热水解,生成对甲酚,再在混酸中硝化,生成 4-羟基-3-硝基甲苯,再与甲醇进行甲氧化 基化反应,生成4-甲氧基-3-硝基甲苯,再按 ①法还原,可得粗制[1]。然后精制。
客服热线:
