对氨基水杨酸
浏览: 1
导读:对氨基水杨酸 : 又称4-氨基水杨酸、4-氨基-2-羟基苯甲酸、PAS、De apasil、Pamacyl、Parasal、Rezipas。从酒精乙醚混合液中析出者为红棕色粉状结晶。熔点150~151℃(分解)。不溶于水、苯、氯仿和四氯化碳,溶于乙醇及乙醚,在水中分解为二氧化碳及间氨基苯酚,溶于稀硝酸及稀氢氧化钠溶液。由于其在水中脱羧分解,市售品多为其
对氨基水杨酸 :

又称4-氨基水杨酸、4- 氨基-2-羟基苯甲酸、PAS、De apasil、Pamacyl、Parasal、Rezipas。 从酒精乙醚混合液中析出者为红 棕色粉状结晶。熔点150~151℃ (分解)。不溶于水、苯、氯仿和四氯 化碳,溶于乙醇及乙醚,在水中分 解为二氧化碳及间氨基苯酚,溶于稀硝酸及稀 氢氧化钠溶液。由于其在水中脱羧分解,市售品 多为其盐酸盐。
用途: 医药中间体,制备抗结核药对氨基 水杨酸钠;也用作荧光指示剂。
制法:①以间氨基苯酚为原料,在110℃及 0.6~0.8MPa下,在碳酸氢钠溶液中,通入二氧 化碳,生成对氨基水杨酸钠,再用稀硫酸中和, 可制得[1]。
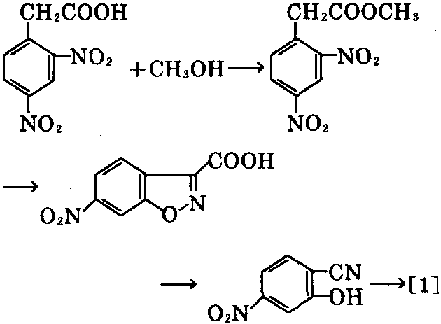
② 以2,4-二硝基苯乙酸为原料,与甲醇 反应,生成甲酯,在亚硝基丁酸作用下,闭环,生 成苯并异唑,加入盐酸酸化,苯并异唑水 解,生成4-硝基-2-羟基苯腈,将此生成物与 水、硫酸、冰醋酸一起加热煮沸,可水解,生成[1]。

客服热线:
