乙酸四氢别罗勒烯酯
浏览: 3
导读:乙酸四氢别罗勒烯酯 : Tetrahydromugyl acetate乙酸四氢别罗勒烯酯有新鲜的柑橘香气和草香香气。外观为液体,它是由乙酸四氢月桂烯酯(Ⅰ)和乙酸四氢芳樟酯(Ⅱ)组成的混合酯。根据RIFM提供的资料,乙酸四氢别罗勒烯酯的急性毒性数据:口服LD505g/kg(大鼠),皮试LD505g/kg(兔子)。美国IFF公司生产乙酸四氢别罗勒烯酯,其产品规格为
乙酸四氢别罗勒烯酯 :

Tetrahydromugyl acetate
乙酸四氢别罗勒烯酯有新鲜的柑橘香气和草香香气。外观为液体,它是由乙酸四氢月桂烯酯(Ⅰ)和乙酸四氢芳樟酯(Ⅱ)组成的混合酯。
根据RIFM提供的资料,乙酸四氢别罗勒烯酯的急性毒性数据:口服LD50>5g/kg(大鼠),皮试LD50>5g/kg(兔子)。
美国IFF公司生产乙酸四氢别罗勒烯酯,其产品规格为:异构的乙酸酯总量不少于92%(色谱法),d2040.864~0.872,n20D1.424~1.428,闪点80℃。
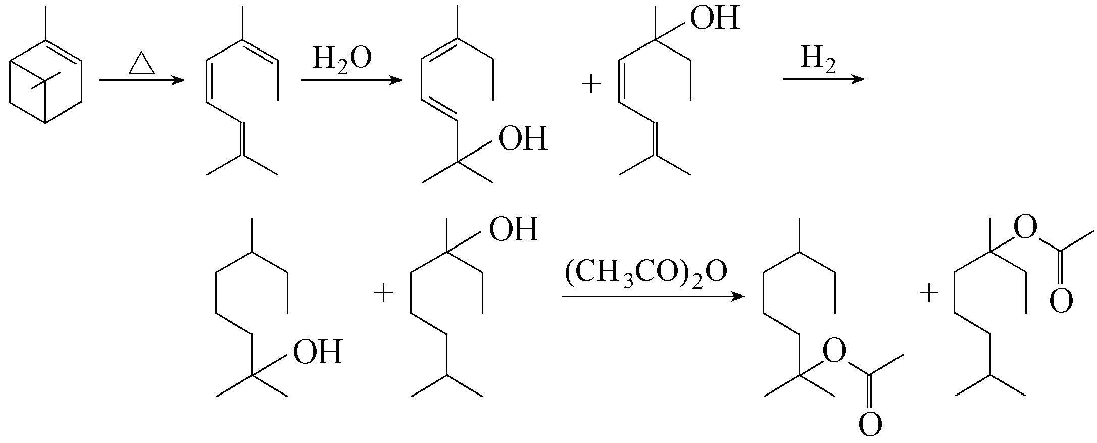
以α-蒎烯为原料,先裂解得到别罗勒烯,再经水化生成别罗勒烯醇混合物,后者彻底氢化后则成为四氢别罗勒烯醇混合物,亦即四氢月桂烯醇和四氢芳樟醇混合物,经乙酰化后则成为乙酸四氢别罗勒烯酯。

乙酸四氢别罗勒烯酯可用于日化香精配方中,用量在25%以内。IFRA没有限制规定。
客服热线:
