亚砜
浏览: 1
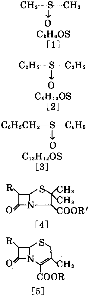
导读:亚砜 : 有两个碳原子与硫原子结合并且有亚硫酰基(S→O )结构的化合物称之为亚砜。如二甲基亚砜[1]、二乙基亚砜[2]、苄苯亚砜[3]等。亚砜中的氧原子呈负离子状态,且不受两个基的,有很强的极性。强氧化性。弱碱性。为无色结晶。溶于乙醇、乙醚和水。也可被氧化成砜。或被还原为硫醚(见反应式(1)及(2))。亚砜有许多重要的反应,
亚砜 :

有两个碳原子与硫原 子结合并且有亚硫酰 基(

亚砜有许多重要 的反应,主要有以下三 种: ①亚硫酰基的α位 阴碳离子反应性强,易 与卤代烷基化合物、羰 基化合物以及烯烃等 反应;②和酸酐反应可 引起Pummerer转位; ③β位上含有氢的亚 砜,通过加热分解可生 成烯烃和亚磺酸。
Morin 1963年发现,盘尼西林[4]氧化生 成亚砜,再经Pummerer转位,扩环生 成[5]。[1]的制法、用途,参见二甲基亚砜。

客服热线:
