亚氨基二乙酸
浏览: 0
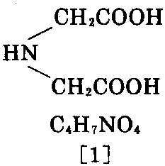
导读:亚氨基二乙酸 : 又称N-(羧甲基)甘氨酸、二甘氨酸,简称IDA,正交晶系白色棱柱状结晶,相对分子质量133.11。熔点247.5℃(分解)。沸点126~127℃(1.800×103Pa)。难溶于丙酮、甲醇、乙醇、苯、四氯化碳和正庚烷,溶于水(5℃时2.43)。与酸或碱反应,生成盐。能与许多金属离子螯合,其选择性Fe3+Cu2+Al3+Ni2+Pb2+Zn2+Ca2+Mg2+Na+。小
亚氨基二乙酸 :

又 称N-(羧甲基)甘氨酸、二 甘氨酸,简称IDA,正交晶 系白色棱柱状结晶,相对分 子质量133.11。熔点247.5℃ (分解)。沸点126~127℃ (1.800×103Pa)。难溶于丙 酮、甲醇、乙醇、苯、四氯化 碳和正庚烷,溶于水(5℃时2.43)。与酸或碱反 应,生成盐。能与许多金属离子螯合,其选择性 Fe3+>Cu2+>Al3+>Ni2+>Pb2+>Zn2+> Ca2+>Mg2+>Na+。小鼠腹腔注射LD50250 mg/kg。
用途: 用作离子交换树脂和表面活性剂 原料; 金属表面处理剂;农药除草剂草甘膦的 原料; 氨基酸型螯合树脂原料,此种螯合树脂 可以从废水中除去有害的重金属离子; 从电 镀废液中除去镍和钴; 分析化学络合滴定用 试剂。
制法:①沸腾的氯乙酸与浓氨水反应,可 制得[1]。
②硝基三乙酸在钯、炭催化剂存在下,用 氧气进行氧化,或用盐酸水解,可制得[1]。
③ 以氯乙酸为原料,与碳酸钠反应,生成 氯乙酸钠,再在常温下与水合肼反应,生成N, N-二乙酸钠联氨,进一步在盐酸中水解,生成 白色固体沉淀N,N-二乙酸联氨,过滤,在浓盐 酸中,常温下与亚硝酸钠反应,可制得[1]。

④以甲醛为原料生产丙三醇时的副产物。
客服热线:
