有机硫化物
浏览: 0
导读:有机硫化物 : 具有二个或二个以上硫原子直接连在一起的结构,该结构又同有机基相连者,称为有机硫化物。前者称有机二硫化物,后者称有机多硫化物。在氧化物中,过氧化物是非常不稳定的,与此相应,二硫化物、三硫化物也不太稳定,这些硫化物存在于动、植物中。例如香蕈的香气成分是2,3,5,6,7-五硫代环庚烷[1],维生素B1在生物体内氧
有机硫化物 :

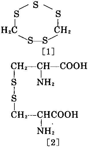
具有 二个或二个以上硫原 子直接连在一起的结 构,该结构又同有机 基相连者,称为有机 硫化物。前者称有机 二硫化物,后者称有 机多硫化物。在氧化 物中,过氧化物是非 常不稳定的,与此相 应,二硫化物、三硫化 物也不太稳定,这些 硫化物存在于动、植 物中。例如香蕈的香 气成分是2,3,5,6,7- 五硫代环庚烷[1],维生素B1在生物体内氧化还 原反应中所生成的二硫代硫胺素和L-双硫丙 氨酸[2]也有二硫化物结构,作为氨基酸在生物 化学方面起着重要作用。此外,二硫化物及多硫 化物在染料工业、橡胶工业等方面也占有重要 位置。
二硫化物及多硫化物的制法:①巯基氧化 反应;②二硫化碱金属和卤代烃反应;③一氯 化硫与芳香族化合物的反应;④卤化亚硫酰与 巯基的反应;⑤亚磺酸的还原。以上各法为二 硫化物的制法。
多硫化物的制法有:①碱金属多硫化物与 卤代烃反应;②巯基与单质硫的反应。
二硫化物由于还原可生成巯基,二硫化物 与卤素反应可生成卤硫化物,这些化合物可用 于有机合成。
![]()
[2]是1810年Wollastone从膀胱结石中发 现的,1832年Berzelius命名为双硫丙氨酸,是 含硫氨基酸中的一种,在蛋白质中少量存在,毛 发、指甲中大量存在,也可由人工合成。硫化染 料在分子中含有—S—S—或—S—S……—S— S—键者,不溶于水、稀酸和碱;但如果用Na2S、 Na2S2O3、H2CO·NaHSO2·2H2O、葡萄糖等还 原,由于生成碱,可溶性巯基衍生物成为隐色 体,在纤维上因空气氧化可再次恢复原来的颜 色。这些染料主要由芳胺、羟胺、亚硝基和硝基 化合物同硫、硫化钠等加热熔融而成。所制得的 硫化染料,因原料、熔融条件而有不同的色调。 其中尤以黑色的染料为主,蓝色、棕色次之。一 般价格低廉,但缺乏鲜艳度,同时也得不到美丽 的红色染料。如果用这种染料染色的织物长期 保存时,容易发脆变色。有机硫化物是橡胶工业 不可缺少的硫化剂和硫化促进剂。如二硫化甲 基秋兰姆、二硫化二苯并噻唑等均为常用硫化 促进剂。多硫化物系的“硫环杀”、“杀螟丹”等均 为有效农药。再如医药中含二硫化物基的硫辛 酸钠、胆维他等为治疗肝病药物。
客服热线:
