百合醛
浏览: 4
导读:百合醛 : 又称铃兰醛、对叔丁基-2-甲基氢化肉桂醛、3-(4-叔丁基苯基)-2-甲基丙醛。无色或浅黄色透明粘性液体。具有铃兰样的甜润香气,其香气与香茅醛、兔耳草醛相近。相对分子质量204.31。相对密度0.949(25/25℃)。沸点258℃、126~127℃(0.800×103Pa)、108℃(0.667×103Pa)、96~98℃(0.133×103Pa)。闪点95℃。折射率1.50
百合醛 :

又称铃兰醛、 对叔丁基-2-甲基 氢化肉桂醛、3-(4- 叔丁基苯基)-2-甲 基丙醛。无色或浅黄 色透明粘性液体。具 有铃兰样的甜润香 气,其香气与香茅醛、 兔耳草醛相近。相对 分子质量204.31。相对密度0.949(25/25℃)。沸 点258℃、126~127℃(0.800×103Pa)、108℃ (0.667×103Pa)、96~98℃(0.133×103Pa)。闪点 95℃。折射率1.5049。几乎不溶于水,溶于乙醇 和油。耐碱性强。
用途: 香料,广泛用于化妆品和香皂,调制 百合、丁香、玉兰、铃兰等香型香精,也可调制非 花香型香精。有万能型香料之称。
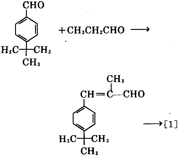
制法:①以对叔丁基苯醛和丙醛为原料, 在碱存在下丁甲醇中进行缩合反应,生成对叔 丁基-α-甲基肉桂醛,再在催化剂作用下,选 择性加氢,可制得[1]。

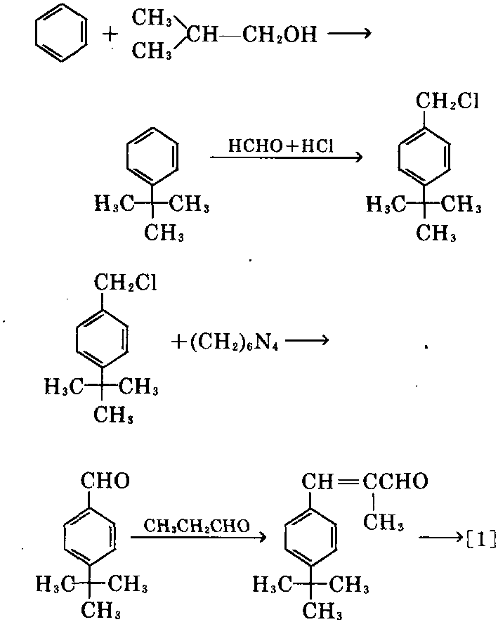
② 以苯和异丁醇为原料,生成叔丁基苯. 叔丁基苯进一步与甲醛和盐酸反应,生成对叔 丁基氯化苄,再与乌洛托品反应,生成对叔丁基 苯甲醛,再与丙醛缩合,再在催化剂作用下加 氢,可制得[1]。

客服热线:
